لماذا تعتبر عدسة F1.0 سر المراقبة الليلية بالألوان الكاملة | شنغهاي الحرير البصرية

2026-03-24 - اترك لي رسالة

رياضيات الضوء: لماذا يعتبر F1.0 قفزة هائلة، وليس خطوة صغيرة

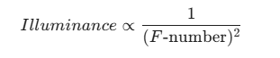
عند شراء أو تصنيع معدات أمنية، من السهل أن تنظر إلى عدسة F2.0 وعدسة F1.0 وتفكر،"إنه مجرد فرق 1.0، أليس كذلك؟"خطأ. في عالم البصريات، لا يتم قياس الأرقام البؤرية بشكل خطي. الرقم البؤري (أو النسبة البؤرية) هو نسبة البعد البؤري للعدسة إلى قطر حدقة المدخل. تنص صيغة قوة جمع الضوء (الإضاءة) للعدسة على أن كمية الضوء التي تصل إلى المستشعر تتناسب عكسيا مع مربع الرقم البؤري:

لذا، إذا قارنا عدسة F2.0 بعدسة F1.0، فإن حساب الفرق في كمية الضوء المدخولة يبدو كما يلي:

لا تمنحك عدسة F1.0 ضعف الضوء الذي توفره عدسة F2.0، بل تمنحك أربعة أضعاف الضوء بالضبط.تخيل أنك تحاول التقاط المطر في دلو. الترقية إلى F1.0 هي بمثابة استبدال مجموعتك القياسية بحوض سباحة للأطفال. عندما تقوم بتوجيه أربعة أضعاف كمية الفوتونات المحيطة (من أضواء الشوارع أو القمر أو المباني البعيدة) إلى مستشعر مستوى ضوء النجوم الحديث، فإن معالج إشارة الصورة (ISP) الخاص بالكاميرا لا يحتاج إلى تعزيز الكسب بشكل مصطنع.
  • كسب منخفض = ضوضاء منخفضة:يمكنك الحصول على صورة نظيفة وحادة بدون "الثلج" الرقمي المزعج.

  • الضوء العالي = اللون الكامل:يتلقى المستشعر بيانات كافية عن الطول الموجي لعرض الألوان بدقة، حتى في منتصف الليل.

المشكلة: لماذا لا يمكنك صنع أي عدسة "F1.0"

إذا كانت فتحة F1.0 رائعة جدًا، فلماذا لا يتم تجهيز كل كاميرا بواحدة منها؟ لأن ثني هذا القدر من الضوء بدقة أمر صعب للغاية.

عندما تفتح فتحة بهذا الاتساع، فإنك تثير فوضى بصرية: حيث تتسبب أشعة الضوء التي تصل إلى حواف العدسة في انحراف لوني (تهديب أرجواني) وضبابية شديدة في زوايا الصورة. للتحكم في فتحة عدسة F1.0، يجب تصميم الهيكل الداخلي للعدسة ببراعة.

وهنا يصبح التمييز بين العدسات البلاستيكية الرخيصة والزجاج الاحترافي أمرًا بالغ الأهمية.

أدخل PL100: قوة هيكل 7E

في شركة Shanghai Silk Optical Technology Co., Ltd.، قمنا بتصميمعدسة PL100خصيصًا لحل التحدي الهندسي F1.0 لتطبيقات الأمان والروبوتات المتطورة.

يتطلب تحقيق دقة تبلغ 2 ميجابكسل - 5 ميجابكسل مع فتحة F1.0 على مستشعر 1/2.7 دقة شديدة. لا يمكنك تحقيق ذلك باستخدام العناصر البلاستيكية القياسية. يستخدم PL100 أ7E (سبعة عناصر) هيكل زجاجي بالكامل. إليك سبب أهمية ذلك بالنسبة إلى النتيجة النهائية:

  • نفاذية لا مثيل لها:يسمح الزجاج بمرور المزيد من الضوء مقارنة بالبلاستيك. عندما يكون الهدف الكامل للعدسة F1.0 هو زيادة امتصاص الضوء إلى الحد الأقصى، فإن استخدام العناصر البلاستيكية يتعارض مع هذا الهدف. يضمن الهيكل الزجاجي 7E وصول أكبر قدر ممكن من الفوتونات الملتقطة إلى المستشعر.

  • الاستقرار الحراري العالي:كاميرات المراقبة تعيش في الهواء الطلق. يخبزون في شمس الصيف ويتجمدون في الشتاء. تتوسع العدسات البلاستيكية وتنكمش مع تغيرات درجة الحرارة، مما يؤدي إلى إزاحة النقطة البؤرية قليلاً ويجعل الكاميرا ذات الدقة المثالية تصبح ضبابية بمرور الوقت (ظاهرة تُعرف باسم الانجراف الحراري). الزجاج مستقر بشكل لا يصدق. يضمن تصميم PL100's 7E بقاء الطول البؤري 4 مم عند 4 مم تمامًا، سواء كانت درجة حرارة 40 درجة مئوية أو -20 درجة مئوية.

  • الوضوح من الحافة إلى الحافة:مع مجال رؤية أفقي واسع يبلغ 89 درجة، تعمل العناصر الزجاجية السبعة المحاذاة بدقة على تصحيح التشوه البصري الناتج أصلاً عن فتحة F1.0 الضخمة، مما يحافظ على حواف لقطاتك حادة مثل المركز.

الحكم لمديري المشتريات والمهندسين

الانتقال إلى المراقبة الليلية بالألوان الكاملة ليس وسيلة للتحايل؛ هذا هو المعيار الجديد لصناعة الأمن. لكن وضع مستشعر Starlight المتطور خلف عدسة رخيصة ذات فتحة ضيقة يشبه وضع محرك سيارة رياضية في عربة جولف.

ولإطلاق العنان حقًا لـ "اللون بدون ضوء إضافي"، تحتاج إلى قوة تجميع الضوء 4x لفتحة F1.0، مدعومة بالثبات الحراري والنفاذية العالية للهيكل الزجاجي بالكامل.

(هل أنت مستعد لترقية تشكيلة أجهزتك؟استكشف المواصفات الكاملة لـ PL100 وعدساتنا البصرية الدقيقة الأخرى هنا.)

إرسال استفسار

X
نحن نستخدم ملفات تعريف الارتباط لنقدم لك تجربة تصفح أفضل، وتحليل حركة مرور الموقع، وتخصيص المحتوى. باستخدام هذا الموقع، فإنك توافق على استخدامنا لملفات تعريف الارتباط. سياسة الخصوصية
يرفض يقبل